“Network marketing has come of age. It’s undeniable that it has become a way to entrepreneurship and independence for millions of people.” Stephen Covey (author of The 7 Habits of Highly Effective People)
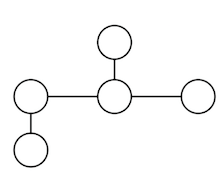
Simply put, network marketing is “a business model in which a distributor network is needed to build the business. Usually, such businesses are also multilevel in nature in that payouts occur at more than one level.”1 The major advantage that network marketing enjoys over direct selling is the benefit of earning commissions on your downline’s sales activity. The chart below illustrates a simple network with four “downline” distributors.

Network marketing generally appeals to those who do not want to be tied down to a nine-to-five grind. Creative thinkers and free spirits who are committed to living the lifestyle of their choice often succeed as network marketers. Counter-intuitively, shy and introverted personalities often end up as the most successful network marketers. In fact, anyone who is determined and perseveres is a potentially successful network marketer.
The majority of new businesses are known to fail within the first 12 months.2 This can be due to massive start–up costs, lack of support and miscalculations but network marketing continues to produce success stories of people who build a business around an existing career or family needs with a minimal investment.3
What should a good network marketing company provide?
- The opportunity to earn an income. This can be a part-time or full-time endeavor. The more products you retail, the more you earn. Best of all, it doesn’t matter what your background is in, as long as you believe in what you’re sharing.
- Residual income. This is an ongoing source of income (also known as passive income) based on repeat sales generated not only by yourself but also by those you sponsor or recruit into your group. The larger your organization, the more potential for earning residual income.
- Flexibility. Since you’re the boss, you dictate your hours and work site. You also get to decide whom you want to work with, as you choose the people you sponsor.
- Amazing products. Network marketing companies are renowned for introducing state-of-the-art products in a variety of industries, especially nutrition and cosmetics. These generally end up in high demand, spawning knock-offs by many, so take care to choose a company that is a pioneer in its field, not a copycat with cheaper formulations.
- A fulfilling life. This is huge, because unlike traditional business models that may reap financial benefits, successful network marketing depends on helping others succeed. Without helping others succeed, a network marketer is at best a good retailer or salesperson. Virtually every successful network marketer is fulfilled by having helped hundreds or even thousands of people live a better life.
- Self-transformation. Successful network marketing requires stepping out of your comfort zone. You need to motivate and inspire others. You need to capitalize on your strengths, recognize your weaknesses and develop into a better version of yourself. Conveniently, a good network marketing company has many mentors who are more than willing to help you develop into a mentor yourself.
Nikken is a network marketing company that is celebrating 30 years in North America in April. Our Active Wellness products have helped millions of people globally to live a healthy, balanced lifestyle based on the 5 Pillars of Health®, and our exceptional Humans Being More training program sets industry standards for self-development.
1 https://www.entrepreneur.com/encyclopedia/network-marketing
2, 3 http://www.rktassell.com/why-network-marketing/